Jinkang Pharmaceutical Technology
--Quality First, Integrity Top, Harmonious Development, Caring for Health
release time:2023-03-02
6S-5-methyltetrahydrofolate is chemically and stereoconfiguratively identical to natural folate. In Europe and the United States, it is considered to be the same as natural folate.
Name: 6S-5-methyltetrahydrofolate, L-5-methyltetrahydrofolate, natural folate
Chemical Name.
English name: L-5-Methyltetrahydrofolate
English Alias: (6S)-5-methyl-5,6,7,8-tetrahydropteroyl-L-glutamic acid
CAS No.: 31690-09-2
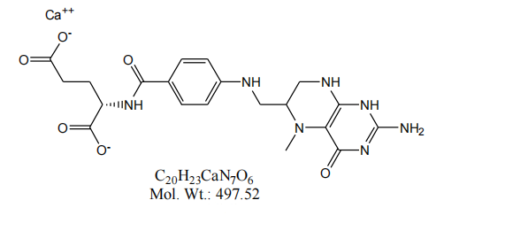
Structural formula.

6S-5-methyltetrahydrofolate has very low solubility in water and poor bioavailability; therefore, its calcium salt is generally used in healthcare applications.
When ingested or dissolved, the calcium salt dissociates completely into 5-methyltetrahydrofolate (5-MTHF) and calcium, which then functions as 5-methyltetrahydrofolate (5-MTHF).
The product is then used as 5-methyltetrahydrofolate (5-MTHF).
The crystalline calcium salt of L-5-methyltetrahydrofolate has excellent chemical stability and moderate solubility with excellent bioavailability.

Magnafolate is the unique patent protected C crystalline L-5-Methyltetrahydrofolate Calcium salt (L-5-MTHF Ca) which can get the purest and most stable bio-active folate.
Magnafolate is a safer, purer and more stable form of calcium L-5-methyltetrahydrofolate that is suitable for all people and is absorbed directly into the body without metabolism.
Copyright(C)2020 , Lianyungang Jinkang Pharmaceutical Technology Co., Ltd. All Rights Reserved. Supported by ChinaChemNet ChemNet Toocle Copyright Notice 备案序号:苏ICP备05064320号